近日,葡萄酒學院楊曉兵副教授團隊在著名生物技術學術期刊《Biotechnology Advances》(IF=10.744)發表了題為 “Microbial production of limonene and its derivatives: Achievements and perspectives” 的綜述文章,系統總結了近年來利用代謝工程和合成生物學策略合成檸檬烯及其衍生物研究進展。西北農林科技大學為第一署名單位,中科院大連化學物理研究所為合作單位;16級本科生任毓瑤和18級博士研究生劉灑灑為共同第一作者,我校楊曉兵副教授與大連化物所周雍進研究員為共同通訊作者,我校靳國杰副教授參與了該綜述的撰寫工作?!禕iotechnology Advances》是生物技術領域頂級國際期刊,在105種應用微生物與生物技術相關的雜志中排名第3,該雜志全年收錄文章在100篇左右,2019年H指數161。

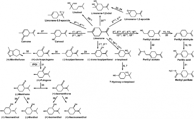
葡萄與葡萄酒中單萜類化合物能夠賦予葡萄與葡萄酒濃郁獨特的芳香,如玫瑰、桂花、鳳梨及蜂蜜等香味。檸檬烯是葡萄與葡萄酒中天然存在的具有代表性的單帖香氣物質之一,在微生物作用下能夠衍生出數十種單萜類化合物。闡釋檸檬烯生物合成途徑及衍生化過程有助于理解葡萄與葡萄酒萜烯類香氣物質的形成機制,為利用代謝工程進行葡萄育種研究,以及采用工程菌調控葡萄酒品種香氣物質組成開展前瞻性研究提供理論依據。此外,利用合成生物學和代謝工程策略構建高效檸檬烯及其衍生物微生物細胞工廠能夠為葡萄園廢棄物高值化再利用,實現葡萄酒產業提質增效提供新思路。

楊曉兵副教授團隊長期致力于利用代謝工程和合成生物學策略構建高價值化合物細胞工廠的研究工作。目前,已利用代謝工程策略成功改造圓紅冬孢酵母(Rhodosporidium toruloides)構建了檸檬烯等單帖化合物、羥基化脂肪酸、氨基酸衍生物的細胞工廠,其中檸檬烯微生物合成相關研究工作獲得陜西省面上基金(2020JM177)、學校科研啟動基金、國家級科創等支持,指導2016本科生任毓瑤畢業論文獲得校級畢業論文。該綜述介紹了微生物合成檸檬烯及其衍生物面臨的機遇與挑戰,詳細闡述了異戊二烯途徑多樣性、代謝路徑關鍵酶的發掘與表征、宿主細胞代謝路徑的理性調控、輔因子平衡、檸檬烯及其衍生物生物毒性的解除及提升宿主微生物魯棒性的策略等內容。本綜述詳盡討論了大腸桿菌、釀酒酵母、藍細菌和產油酵母等生產平臺菌株的優勢與不足,為系統地理性改造微生物代謝網絡構建單帖細胞工廠提供了科學參考。
